Table of contents
- See also Vitamin D Life
- Effects of early vitamin D deficiency rickets on bone and dental health, growth and immunity Oct 2016
- Periodontal diseases in patients with vitamin D-resistant rickets – Feb 2015
- Dental manifestations of patient with vitamin D-resistant rickets – Nov 2013
- The spectrum of dental manifestations in vitamin D-resistant rickets: implications for management - 1986
See also Vitamin D Life
Overview of Rickets and vitamin D contains the following summary
Rate of rickets is usually < 0.1% of births, unless dark skin or breastfed
Rate of rickets has greatly increased with the drop in vitamin D levels during the past 40 years
400 IU can prevent/treat most rickets Turkey gave vitamin D to EVERY child and eliminated Rickets
A low serum level of vitamin D does not indicate rickets
Sometimes rickets is also associated with a poor vitamin D receptor
Giving enough Vitamin D to the mother PREVENTS Rickets
Rate of rickets in some countries varies from 10% to 70% (typically poor health overall)
Rickets has been more than doubling in many countries
Rickets is strongly associated with severe breathing problems (weak ribs)
Bowed legs is not the primary indication of rickets (3 other indications of rickets are seen more often)
Vitamin D and Rickets consensus took 80 years
Dental
- UVB added in classroom reduced cavities, increased height, increased academics. etc
- Dental caries cut in half by vitamin D, review of 24 old clinical trials – Nov 2012
- Severe childhood dental problems 2.4 X more likely if breastfed for more than two years (low vitamin D) – June 2017
- Dental Caries risk in children cut in half if more than 20 nanogram of Vitamin D – Nov 2015
- Vitamin D may provide the most peridontal benefits of all nutraceuticals – May 2018
- Early tooth decay 1.9 X more likely if a poor Vitamin D receptor – July 2017
- Note: Can have a good level of vitamin D in blood but poor vitamin D in teeth if poor Vitamin D receptor
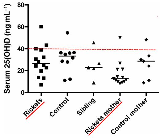
Effects of early vitamin D deficiency rickets on bone and dental health, growth and immunity Oct 2016
Matern Child Nutr. 2016 Oct;12(4):898-907. doi: 10.1111/mcn.12187. Epub 2015 Apr 7.
Zerofsky M1,2, Ryder M3, Bhatia S4, Stephensen CB5, King J4, Fung EB4.
Vitamin D deficiency is associated with adverse health outcomes, including impaired bone growth, gingival inflammation and increased risk for autoimmune disease, but the relationship between vitamin D deficiency rickets in childhood and long-term health has not been studied. In this study, we assessed the effect of early vitamin D deficiency on growth, bone density, dental health and immune function in later childhood to determine if children previously diagnosed with rickets were at greater risk of adverse health outcomes compared with healthy children. We measured serum 25-hydroxyvitamin D, calcium, parathyroid hormone, bone mineral density, anthropometric measures, dietary habits, dental health, general health history, and markers of inflammation in 14 previously diagnosed rickets case children at Children's Hospital Oakland Research Center. We compared the findings in the rickets cases with 11 healthy children selected from the population of CHO staff families. Fourteen mothers of the rickets cases, five siblings of the rickets cases, and seven mothers of healthy children also participated.
Children diagnosed with vitamin D deficiency rickets had a
- greater risk of fracture,
- greater prevalence of asthma, and
- more dental enamel defects
compared with healthy children. Given the widespread actions of vitamin D, it is likely that early-life vitamin D deficiency may increase the risk of disease later in childhood. Further assessment of the long-term health effects of early deficiency is necessary to make appropriate dietary recommendations for infants at risk of deficiency.
PMID: 25850574 PMCID: PMC4610869 DOI: 10.1111/mcn.12187
 Download the PDF from Vitamin D Life
Periodontal diseases in patients with vitamin D-resistant rickets – Feb 2015
Georgian Med News. 2015 Feb;(239):23-6.
Japaridze NV, Margvelashvili VV, Shengelia MI, Chigladze TT, Kalandadze MN.
OBJECTIVE:
To define the risk of development of periodontal diseases at vitamin D-resistant rickets. The material for the study was based on the data from 13 children of 0-18 years with vitamin D-resistant rickets (I group), 68 children with vitamin D-dependent rickets (II group), and the control group included 61 children of the same ages. The patients were divided into 3 age groups: I group of 0-5 years (deciduous/milk teeth occlusion), II group of 6-12 of years (mixed bite), III group of 13-18 years (permanent occlusion). For the qualitative data the differences between the groups were detected by using F criteria but for the quantitative data the differences between the groups were detected by Student's t test for independent selection. Mathematical processing was performed using statistical software SPSS-22. In all three groups the gingivitis of mild and moderate forms were fixed, among them acute course was revealed only in the group of vitamin D-resistant rickets. The rate of chronic, local, catarrhal and generalized gingivitis in the group of vitamin D-resistant rickets was reliably higher in comparison with both vitamin D-dependant rickets and control groups. In addition, a mild form of periodontitis with chronic course was revealed in all three groups the rate of which was reliably higher in the group of vitamin D-resistant rickets comparing with the ones of vitamin D-dependant rickets and control groups.
CONCLUSION:
the rate of inflammatory periodontal diseases in children with vitamin D-resistant rickets is higher than in children with vitamin D-dependent rickets and the control groups.
PMID: 25802443
Dental manifestations of patient with vitamin D-resistant rickets – Nov 2013
J Appl Oral Sci. 2013 Nov-Dec;21(6):601-6. doi: 10.1590/1679-775720130249.
Souza AP, Kobayashi TY, Lourenço Neto N, Silva SM, Machado MA, Oliveira TM.
Patients with Vitamin D-resistant rickets have abnormal tooth morphology such as thin globular dentin and enlarged pulp horns that extend into the dentino-enamel junction. Invasion of the pulp by microorganisms and toxins is inevitable. The increased fibrotic content of the pulp, together with a reduced number of odontoblasts, decreases the response to pulp infection.
The most important oral findings are characterized by spontaneous gingival and dental abscesses occuring without history of trauma or caries.
Radiographic examinations revealed
- large pulp chambers,
- short roots,
- poorly defined lamina dura and
- hypoplastic alveolar ridge.
These dental abscesses are common and therefore the extraction and pulpectomy are the treatment of choice. The purpose of this article is to report a case of Vitamin D-resistant rickets in a 5 year-old boy, describing the dental findings and the treatment to be performed in these cases.
PMID: 24473729 PMCID: PMC3891287 DOI: 10.1590/1679-775720130249
 Download the PDF from Vitamin D Life
The spectrum of dental manifestations in vitamin D-resistant rickets: implications for management - 1986
 Download the PDF from Vitamin D Life
| 1279 visitors, last modified 04 Aug, 2018, |
| ID | Name | Comment | Uploaded | Size | Downloads | |
|---|---|---|---|---|---|---|
| 10295 | Dental manifestations.pdf | admin 04 Aug, 2018 17:04 | 1.95 Mb | 260 | ||
| 10294 | Rickets Vit D.jpg | admin 04 Aug, 2018 16:48 | 26.47 Kb | 474 | ||
| 10293 | Effects of early vitamin D deficiency rickets.pdf | admin 04 Aug, 2018 16:47 | 632.42 Kb | 218 | ||
| 10292 | rickets dental.pdf | admin 04 Aug, 2018 16:47 | 1.56 Mb | 238 |
