Omega-3 Fatty Acids as Complementary and Alternative Medicine for Depression: Literature Review
American Journal of Nursing Research; Vol. 4, No. 3, 2016, pp 69-73. doi: 10.12691/ajnr-4-3-3 | Anas Husam Khalifeh
Nursing Department, Prince Hamzah Hospital, Ministry of Health, Amman, Jordan
Pages listed in BOTH the categories Depression and Omega-3
- Depression treatments: diet, exercise, bright light, Vitamin D, B12, Omega-3, Zinc, Music, etc. – May 2019
- Omega-3 helps treat Major Depression – International Consensus Sept 2019
- Mental disorders fought by Omega-3 etc. - meta-meta-analysis Oct 2019
- Omega-3 reduces Depression. Anxiety, Stress, PTSD, etc. – Aug 2018
- Depression treated by Omega-3 (again) – meta-analysis Aug 2019
- Depression after childbirth 5 X less likely if good Omega-3 index – April 2019
- Occupational burnout reduced after 8 weeks of Omega-3 – RCT July 2019
- Anxiety severity reduced if more than 2 grams of Omega-3 – meta-analysis Sept 2018
- Psychotic disorders not treated by Omega-3 when patents take anti-depressants and get therapy – June 2018
- Happy Nurses Project gave Omega-3 for 3 months – reduced depression, insomnia, anxiety, etc for a year – RCT July 2018
- Depression – is it reduced by Vitamin D and or Omega-3 – RCT 2019
- Benefits of Omega-3 beyond heart health - LEF Feb 2018
- Omega-3 improves gut bacteria, reduces inflammation and depression – Dec 2017
- Unipolar depression treated by Omega-3, Zinc, and probably Vitamin D – meta-analysis Oct 2017
- Omega-3 reduces many psychiatric disorders – 2 reviews 2016
- Omega-3 does not consistently treat depression if use small amounts for short time period – review Oct 2016
- How Omega-3 Fights Depression – LEF July 2016
- Depression due to inflammation reduced by Omega-3 (children and pregnant) – Nov 2015
- Depression treated somewhat by Omega-3 (St. John's Wort better) – RAND org reviews 2015
- Depression substantially decreased with Omega-3 – Sept 2015
- Omega-3 for just 3 months greatly reduced psychosis for 80 months – RCT Aug 2015
- Omega-3 prevents PTSD and some mood disorders - Aug 2015
- Omega-3, Vitamin D, and other nutrients decrease mental health problems – March 2015
- Serotonin regulated by Vitamin D – part 1 autism – Feb 2014
 Download the PDF from Vitamin D Life
Background: Depression is a common mental and psychological disorder, rise globally. Depressed patients may resort to other sources to decrease the symptoms without side effects like complementary and alternative medicine (CAM), The most commonly used CAM treatments in the United States for people who have depression is Omega-3 Long-Chain Polyunsaturated Fatty Acids (LCPUFA). The purpose of this paper to highlight and explore more information about the effectiveness of omega 3 folic acid on patients who diagnosed with depression.
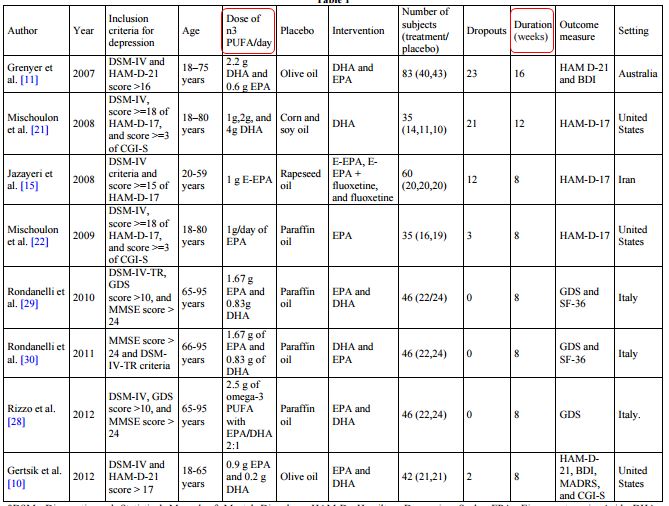
Methods: Literature review of Randomized Control Trails (RCTs) studies, articles have been recovered for review of computer searches, from 2006 to 2016, databases that were used: PubMed, Medline, Wiley, PsychInfo, EBSCO host, Ovid database, Cinahl, and Google Scholar. Articles were selected based on a set of eligibility criteria.
Results: The literature review content eight RCTs studies according to eligibility criteria, there are studies support the evidence of the effectiveness of omega-3 and dose of omega-3 with depression disorder as a monotherapy and combining with an antidepressant. However, there are studies that shown the inverse result.
Conclusions: Although there are studies showed Influence effectively, the using and role of omega-3 for depression still under debate.
